Официальное опубликование правовых актов
ОФИЦИАЛЬНОЕ ОПУБЛИКОВАНИЕ
Постановление Правительства Липецкой области от 08.02.2024 № 104
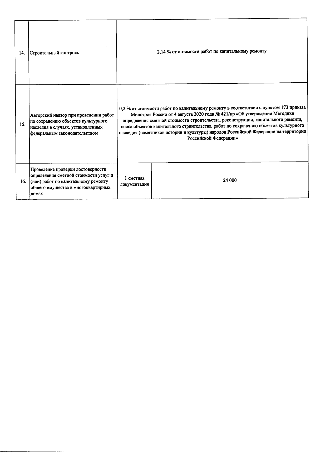
"Об установлении размера предельной стоимости услуг и (или) работ по капитальному ремонту, который может оплачиваться областным оператором за счет средств фонда капитального ремонта, сформированного исходя из минимального размера взноса на капитальный ремонт, на 2024 год"
Номер опубликования: 4800202402160003
Дата опубликования: 16.02.2024
Страница №5 из 5:
Увеличить