Официальное опубликование правовых актов
ОФИЦИАЛЬНОЕ ОПУБЛИКОВАНИЕ
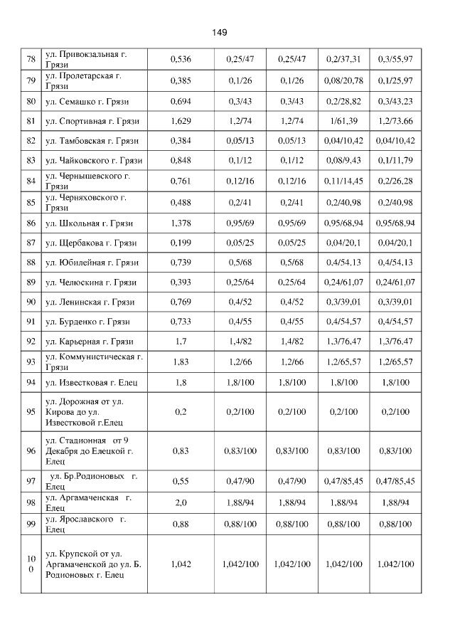
Постановление администрации Липецкой области от 06.12.2018 № 602
"О внесении изменений в постановление администрации Липецкой области от 21 ноября 2013 года № 521 "Об утверждении государственной программы Липецкой области "Развитие транспортной системы Липецкой области"
Номер опубликования: 4800201812100001
Дата опубликования: 10.12.2018
Страница №149 из 215:
Увеличить