Официальное опубликование правовых актов
ОФИЦИАЛЬНОЕ ОПУБЛИКОВАНИЕ
Постановление администрации Липецкой области от 29.05.2015 № 276
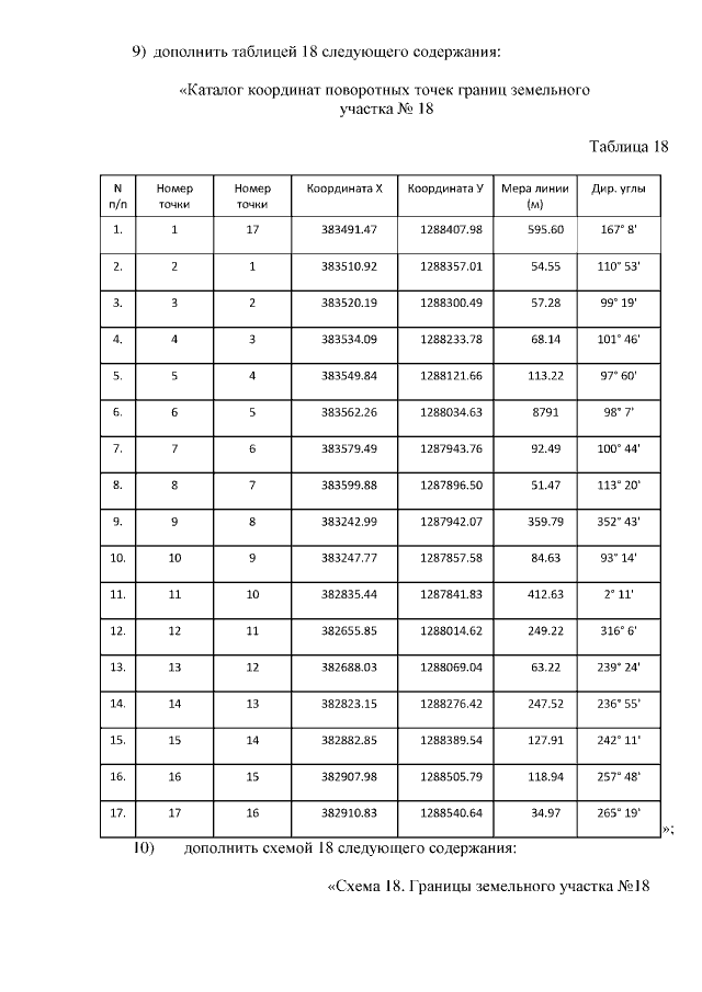
"О внесении изменений в постановление администрации Липецкой области от 12 августа 2013 года № 367 "О создании особых экономических зон регионального уровня агропромышленного типа"
Номер опубликования: 4800201506040002
Дата опубликования: 04.06.2015
Страница №7 из 8:
Увеличить