Приказ Комитета Ленинградской области по транспорту от 20.10.2025 № 13
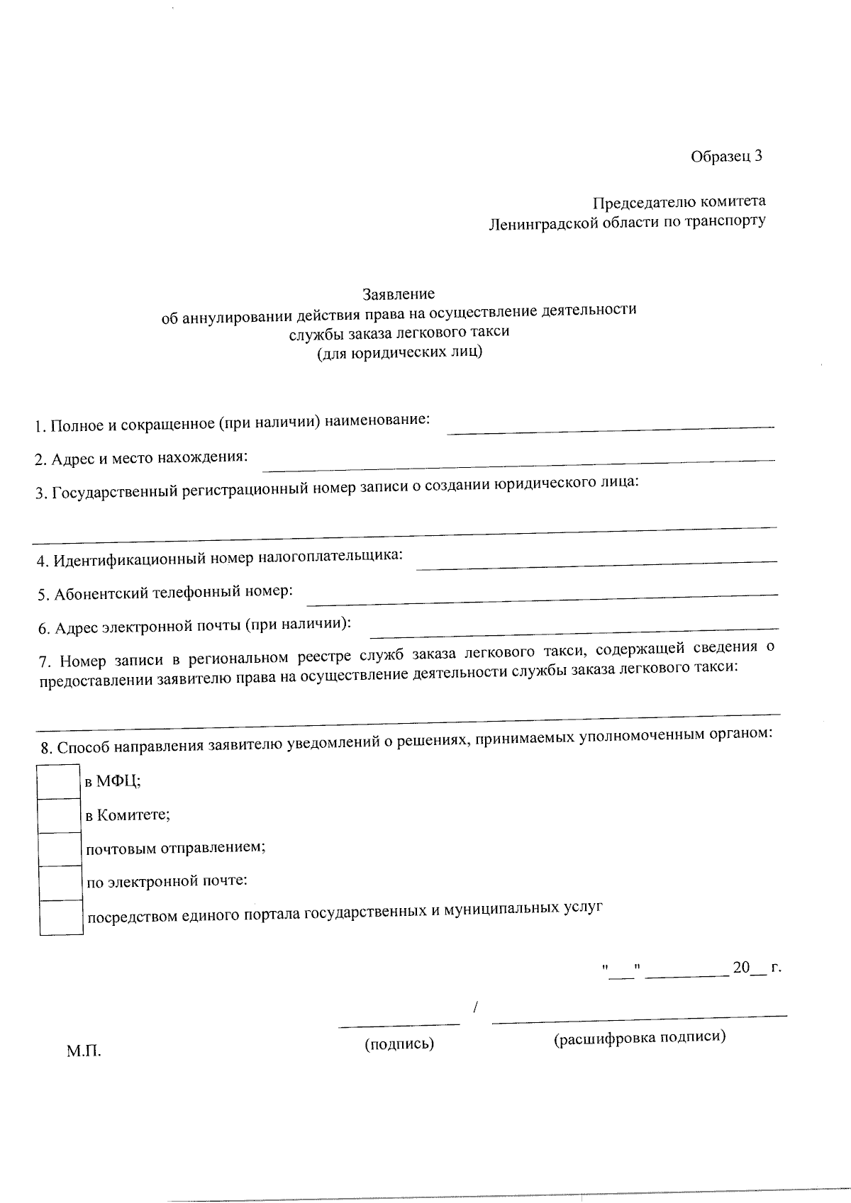
"Об утверждении административных регламентов предоставления государственной услуги по предоставлению разрешения, аннулированию действия разрешения на осуществление деятельности по перевозке пассажиров и багажа легковым такси, внесению изменений в региональный реестр перевозчиков легковым такси, предоставлению выписки из регионального реестра перевозчиков легковым такси, государственной услуги по внесению сведений в региональный реестр легковых такси, внесению изменений в региональный реестр легковых такси, исключению сведений из регионального реестра легковых такси, получению выписки из регионального реестра легковых такси, государственной услуги по предоставлению или аннулированию действия права на осуществление деятельности службы заказа легкового такси, внесению изменений в региональный реестр служб заказа легкового такси, получению выписки из регионального реестра служб заказа легкового такси и признании утратившими силу отдельных приказов комитета Ленинградской области по транспорту"
(Зарегистрирован 20.10.2025 № 13-пр)
"Об утверждении административных регламентов предоставления государственной услуги по предоставлению разрешения, аннулированию действия разрешения на осуществление деятельности по перевозке пассажиров и багажа легковым такси, внесению изменений в региональный реестр перевозчиков легковым такси, предоставлению выписки из регионального реестра перевозчиков легковым такси, государственной услуги по внесению сведений в региональный реестр легковых такси, внесению изменений в региональный реестр легковых такси, исключению сведений из регионального реестра легковых такси, получению выписки из регионального реестра легковых такси, государственной услуги по предоставлению или аннулированию действия права на осуществление деятельности службы заказа легкового такси, внесению изменений в региональный реестр служб заказа легкового такси, получению выписки из регионального реестра служб заказа легкового такси и признании утратившими силу отдельных приказов комитета Ленинградской области по транспорту"
(Зарегистрирован 20.10.2025 № 13-пр)
Номер опубликования: 4701202510210005
Дата опубликования:
21.10.2025
