Официальное опубликование правовых актов
ОФИЦИАЛЬНОЕ ОПУБЛИКОВАНИЕ
Приказ Комитета градостроительной политики Ленинградской области от 24.11.2023 № 175
"Об утверждении проекта планировки территории и проекта межевания территории III-го планировочного района в Петербургском микрорайоне г. Выборга МО "Выборгский район" Ленинградской области"
(Зарегистрирован 24.11.2023 № 01-06/175)
Номер опубликования: 4701202311300007
Дата опубликования: 30.11.2023
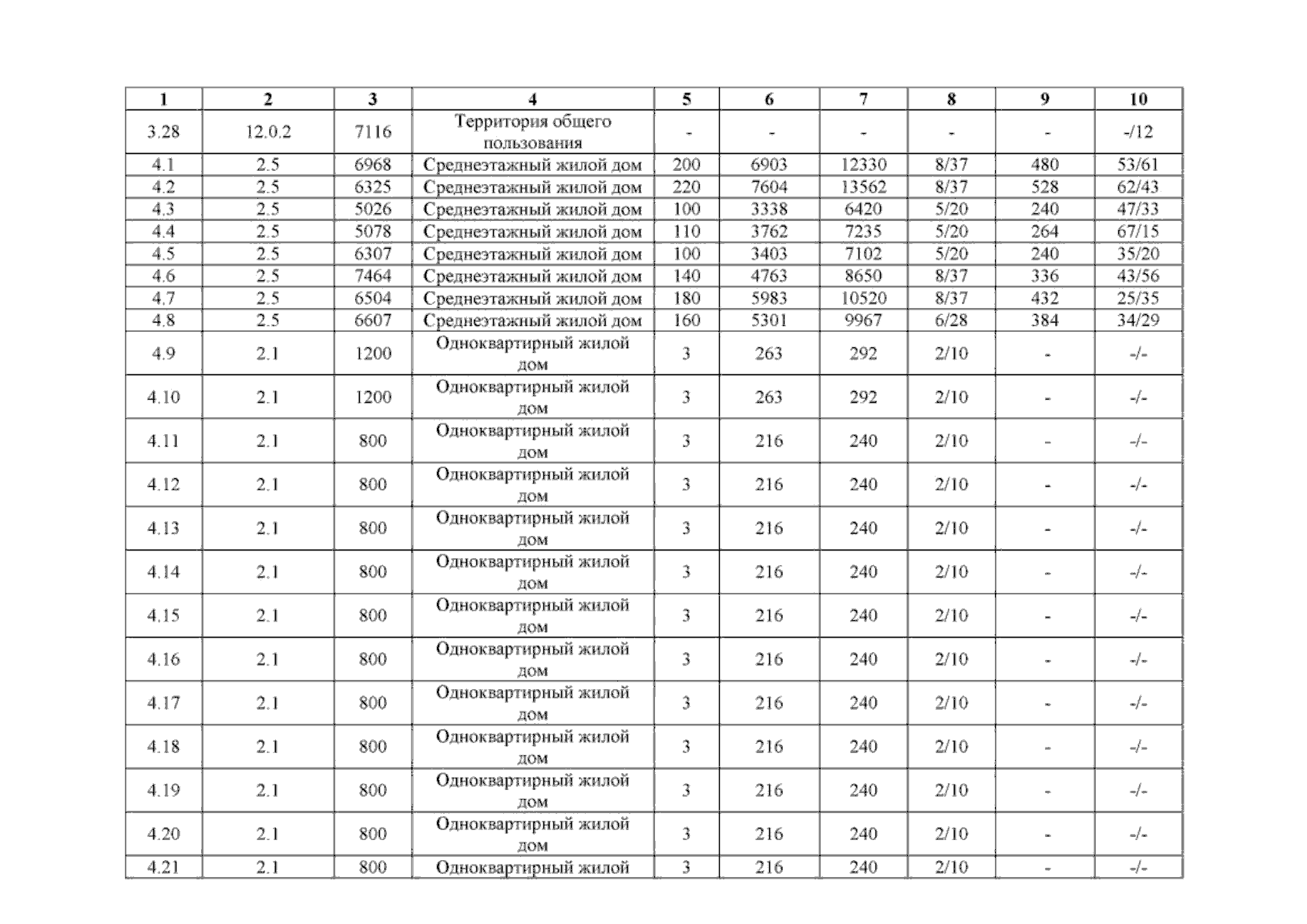
Страница №25 из 82:
Увеличить