Официальное опубликование правовых актов
ОФИЦИАЛЬНОЕ ОПУБЛИКОВАНИЕ
Приказ Комитета градостроительной политики Ленинградской области от 11.07.2022 № 93
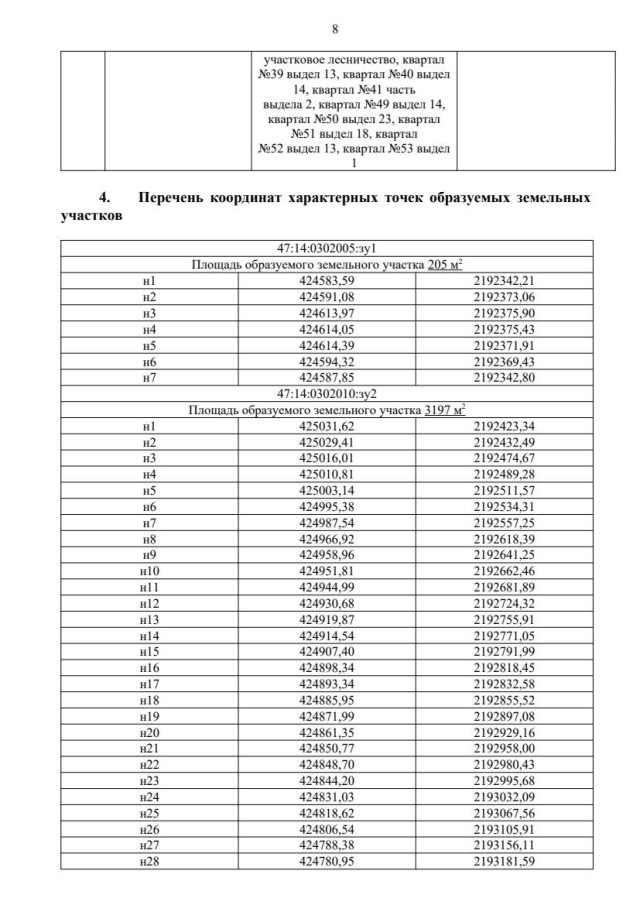
"Об утверждении проекта планировки территории и проекта межевания территории с целью размещения линейного объекта: "Газопровод межпоселковый от д. Низино до д. Санино, д. Ольгино, д. Марьино, д. Владимировка Ломоносовского муниципального района Ленинградской области"
Номер опубликования: 4701202207120001
Дата опубликования: 12.07.2022
Страница №51 из 99:
Увеличить