Официальное опубликование правовых актов
ОФИЦИАЛЬНОЕ ОПУБЛИКОВАНИЕ
Приказ Комитета градостроительной политики Ленинградской области от 06.06.2022 № 75
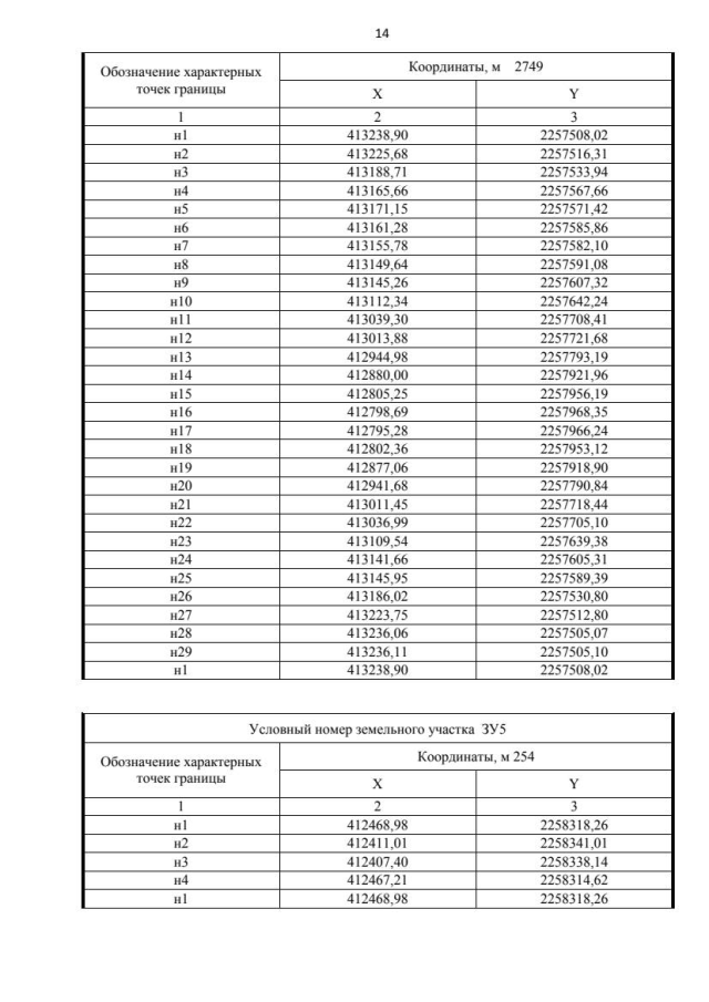
"Об утверждении проекта планировки территории и проекта межевания территории с целью размещения линейного объекта "Газопровод межпоселковый от г. Мга до д. Пухолово, д. Сологубовка, д. Петрово, д. Турышкино, п. Старая Малукса, п. Новая Малукса с отводом на д. Лезье, д. Муя Кировского района", расположенного в Мгинском городском поселении Кировского муниципального района Ленинградской области"
Номер опубликования: 4701202206140001
Дата опубликования: 14.06.2022
Страница №110 из 233:
Увеличить