Официальное опубликование правовых актов
ОФИЦИАЛЬНОЕ ОПУБЛИКОВАНИЕ
Приказ Комитета по сохранению культурного наследия Ленинградской области от 06.05.2022 № 01-03/22-80
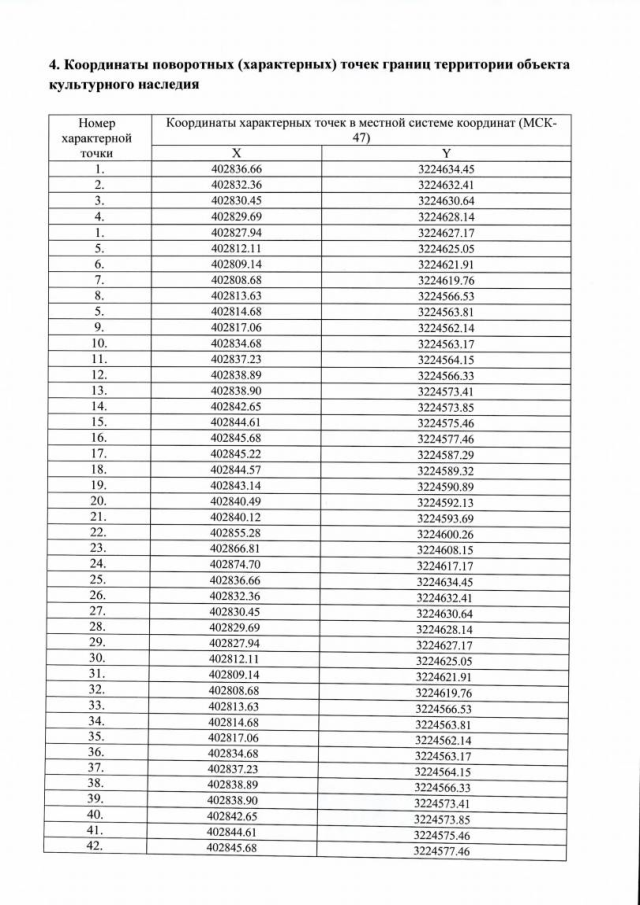
"О включении выявленных объектов культурного наследия "Контора", "Водонапорная башня", "Здание служб", "Веерное депо", входящих в состав выявленного объекта культурного наследия "Комплекс построек при железнодорожном вокзале (веерное депо, контора, водонапорная башня, здание служб, ледник"), расположенного по адресу: Ленинградская область, Тихвинский район, г. Тихвин, квартал, ограниченный Ново-Советской ул. с запада, Вокзальной ул. с севера, Новгородской ул. с востока и железнодорожными путями с юга, в единый государственный реестр объектов культурного наследия (памятников истории и культуры) народов Российской Федерации в качестве объекта культурного наследия регионального значения с наименованием "Постройки при железнодорожном вокзале", утверждении границ его территории и предмета охраны"
Номер опубликования: 4701202205130004
Дата опубликования: 13.05.2022
Страница №6 из 22:
Увеличить