Официальное опубликование правовых актов
ОФИЦИАЛЬНОЕ ОПУБЛИКОВАНИЕ
Приказ Комитета градостроительной политики Ленинградской области от 25.03.2022 № 35
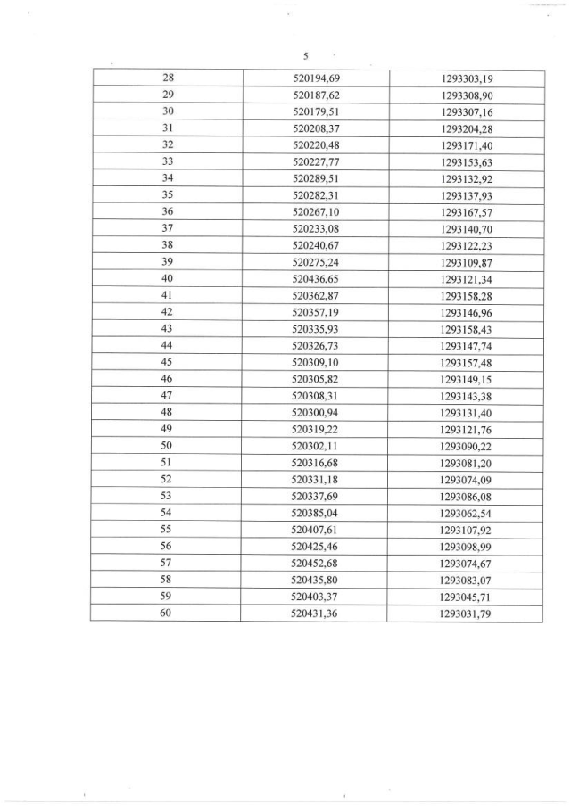
"Об утверждении проекта планировки территории и проекта межевания территории садоводческого некоммерческого товарищества "Юг-плюс", расположенного по адресу: Ленинградская область, город Выборг, район мыса Бобовый"
Номер опубликования: 4701202204010003
Дата опубликования: 01.04.2022
Страница №17 из 47:
Увеличить