Официальное опубликование правовых актов
ОФИЦИАЛЬНОЕ ОПУБЛИКОВАНИЕ
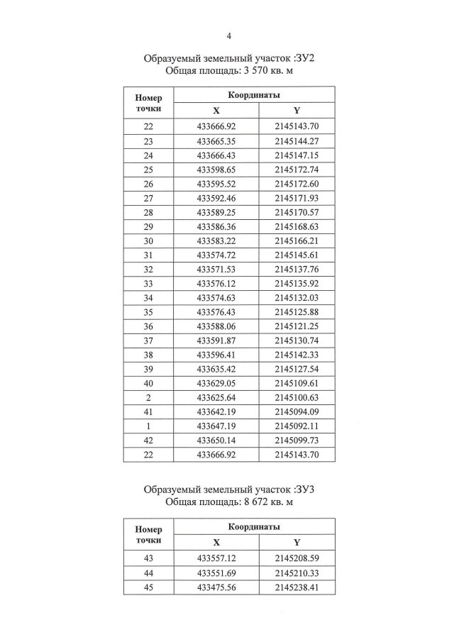
Приказ Комитета градостроительной политики Ленинградской области от 22.03.2022 № 26
"Об утверждении проекта межевания территории микрорайона № 4А Сосновоборского городского округа Ленинградской области"
Номер опубликования: 4701202203240001
Дата опубликования: 24.03.2022
Страница №6 из 52:
Увеличить