Официальное опубликование правовых актов
ОФИЦИАЛЬНОЕ ОПУБЛИКОВАНИЕ
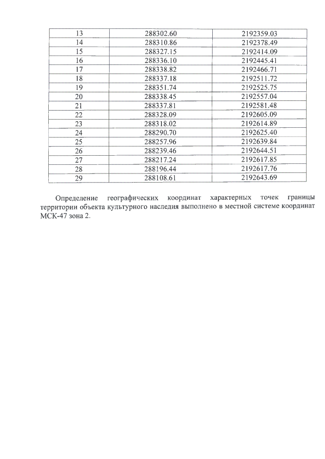
Приказ Комитета по культуре Ленинградской области от 13.04.2020 № 01-03/20-134
"Об установлении границ территории и предмета охраны объекта культурного наследия регионального значения "Ансамбль Череменецкого Иоанно-Богословского мужского монастыря", по адресу: Ленинградская область, Лужский муниципальный район, местечко Череменец, ул. Монастырская, д. 1"
Номер опубликования: 4701202004220023
Дата опубликования: 22.04.2020
Страница №5 из 26:
Увеличить