Приказ Комитета по культуре Ленинградской области от 07.02.2020 № 01-03/20-35
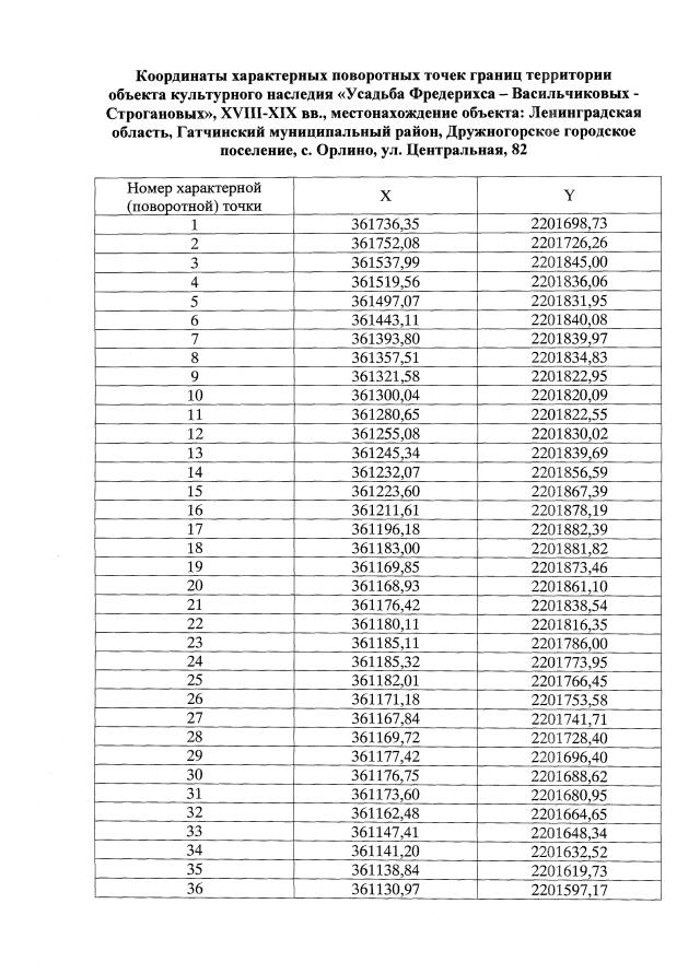
"О включении выявленных объектов культурного наследия "Усадебный парк Строгановых", 18-19 вв., "Усадебный парк", XVIII-XIX вв., местонахождение объекта: Ленинградская область, Гатчинский район, д. Орлино, "Водонапорная башня", середина XIX в., местонахождение объекта: Ленинградская область, Гатчинский муниципальный район, Дружногорское городское поселение, с. Орлино, ул. Совхозная, рядом с домом 9, в единый государственный реестр объектов культурного наследия (памятников истории и культуры) народов Российской Федерации в качестве объекта культурного наследия регионального значения "Усадьба Фредерихса – Васильчиковых - Строгановых", XVIII-XIX вв., утверждении границ его территории и установлении предмета охраны"
"О включении выявленных объектов культурного наследия "Усадебный парк Строгановых", 18-19 вв., "Усадебный парк", XVIII-XIX вв., местонахождение объекта: Ленинградская область, Гатчинский район, д. Орлино, "Водонапорная башня", середина XIX в., местонахождение объекта: Ленинградская область, Гатчинский муниципальный район, Дружногорское городское поселение, с. Орлино, ул. Совхозная, рядом с домом 9, в единый государственный реестр объектов культурного наследия (памятников истории и культуры) народов Российской Федерации в качестве объекта культурного наследия регионального значения "Усадьба Фредерихса – Васильчиковых - Строгановых", XVIII-XIX вв., утверждении границ его территории и установлении предмета охраны"
Номер опубликования: 4701202002140002
Дата опубликования:
14.02.2020
