Официальное опубликование правовых актов
ОФИЦИАЛЬНОЕ ОПУБЛИКОВАНИЕ
Приказ Комитета по культуре Ленинградской области от 20.12.2018 № 01-03/18-558
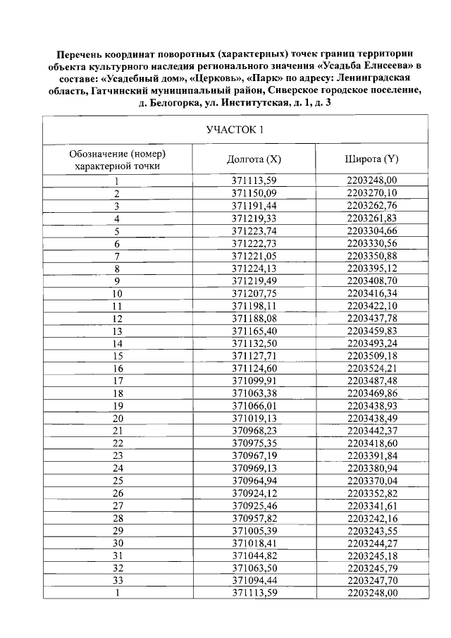
"Об установлении границ территории и предмета охраны объекта культурного наследия регионального значения "Усадьба Елисеева" в составе: "Усадебный дом", "Церковь", "Парк" по адресу: Ленинградская область, Гатчинский муниципальный район, Сиверское городское поселение, д. Белогорка, ул. Институтская, д. 1, д. 3"
Номер опубликования: 4701201812290098
Дата опубликования: 29.12.2018
Страница №4 из 9:
Увеличить