Приказ Комитета по культуре Ленинградской области от 05.12.2018 № 01-03/18-423
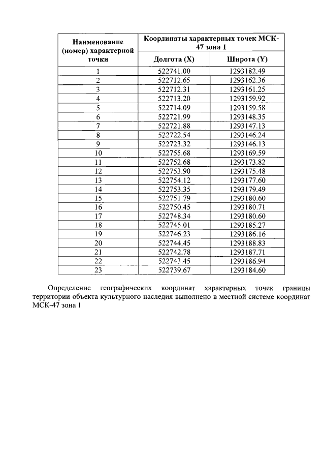
"Об установлении границ территории объекта культурного наследия федерального значения "Кирха Петра и Павла" по адресу: Ленинградская область г. Выборг, Пионерская ул., д. 6"
"Об установлении границ территории объекта культурного наследия федерального значения "Кирха Петра и Павла" по адресу: Ленинградская область г. Выборг, Пионерская ул., д. 6"
Номер опубликования: 4701201812140005
Дата опубликования:
14.12.2018
