Приказ Комитета по культуре Ленинградской области от 26.11.2018 № 01-03/18-327
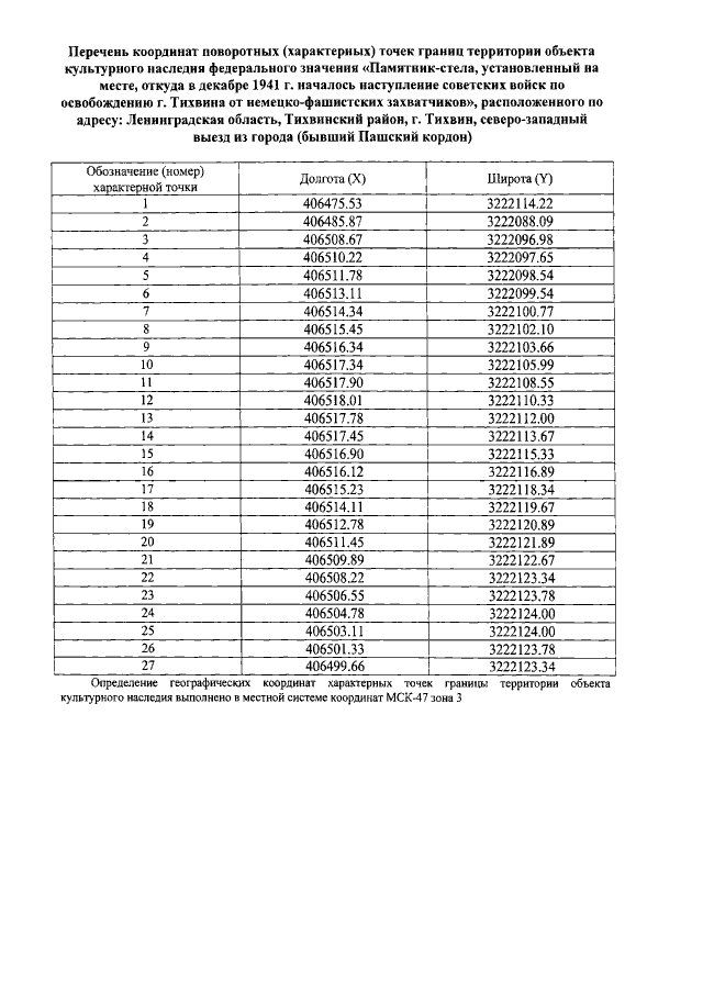
"Об установлении границ территории объекта культурного наследия федерального значения "Памятник–стела, установленный на месте, откуда в декабре 1941 г. началось наступление советских войск по освобождению г. Тихвина от немецко–фашистских захватчиков", расположенного по адресу: Ленинградская область, Тихвинский район, г. Тихвин, северо-западный выезд из города (бывший Пашский кордон)"
"Об установлении границ территории объекта культурного наследия федерального значения "Памятник–стела, установленный на месте, откуда в декабре 1941 г. началось наступление советских войск по освобождению г. Тихвина от немецко–фашистских захватчиков", расположенного по адресу: Ленинградская область, Тихвинский район, г. Тихвин, северо-западный выезд из города (бывший Пашский кордон)"
Номер опубликования: 4701201811300051
Дата опубликования:
30.11.2018
