Официальное опубликование правовых актов
ОФИЦИАЛЬНОЕ ОПУБЛИКОВАНИЕ
Приказ Комитета по культуре Ленинградской области от 26.11.2018 № 01-03/18-324
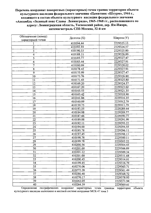
"Об установлении границ территории объекта культурного наследия федерального значения "Памятник "Штурм", 1944 г., входящего в состав объекта культурного наследия федерального значения "Ансамбль "Зеленый пояс Славы Ленинграда", 1965–1968 гг., расположенного по адресу: Ленинградская область, Тосненский район, дер. Ям-Ижора, автомагистраль СПб-Москва, 32-й км"
Номер опубликования: 4701201811300032
Дата опубликования: 30.11.2018
Страница №5 из 6:
Увеличить