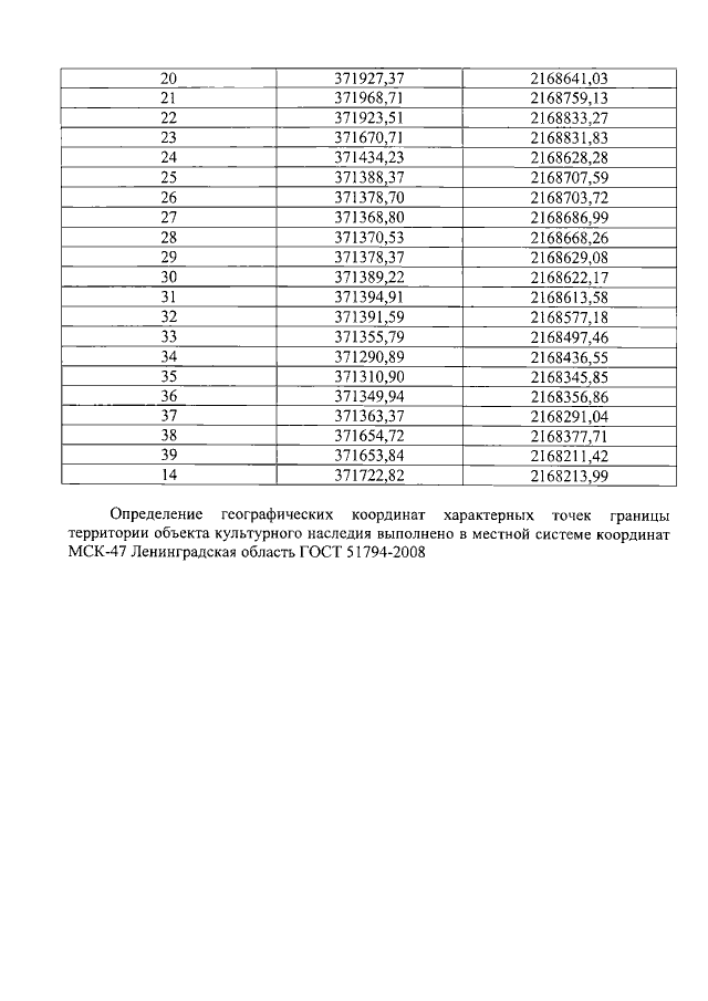
Приказ Комитета по культуре Ленинградской области от 30.10.2018 № 01-03/18-214
"Об установлении границ территории объекта культурного наследия регионального значения "Усадьба, в которой жил в 1875–1898 годах художник Николай Константинович Рерих" по адресу: Ленинградская область, Волосовский муниципальный район, Изварское сельское поселение, деревня Извара, 15а"
"Об установлении границ территории объекта культурного наследия регионального значения "Усадьба, в которой жил в 1875–1898 годах художник Николай Константинович Рерих" по адресу: Ленинградская область, Волосовский муниципальный район, Изварское сельское поселение, деревня Извара, 15а"
Номер опубликования: 4701201811070002
Дата опубликования:
07.11.2018
