Официальное опубликование правовых актов
ОФИЦИАЛЬНОЕ ОПУБЛИКОВАНИЕ
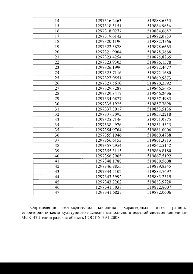
Приказ Комитета по культуре Ленинградской области от 17.10.2018 № 01-03/18-154
"Об установлении границ территории и предмета охраны объекта культурного наследия регионального значения "Братская могила советских воинов, павших в боях на Карельском перешейке (с бронзовой фигурой советского воина на гранитном постаменте)" по адресу: Ленинградская область, Выборгский муниципальный район, г. Выборг, ш. Ленинградское, уч. 84"
Номер опубликования: 4701201810240007
Дата опубликования: 24.10.2018
Страница №6 из 9:
Увеличить