Официальное опубликование правовых актов
ОФИЦИАЛЬНОЕ ОПУБЛИКОВАНИЕ
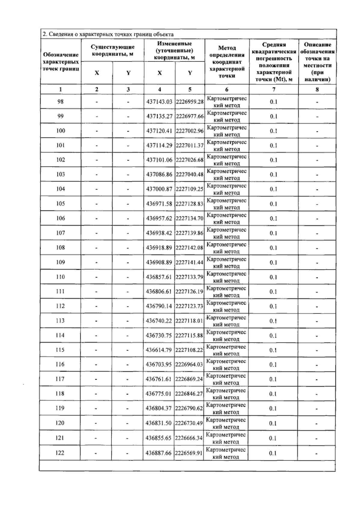
Постановление Правительства Ленинградской области от 31.10.2024 № 755
"О внесении изменений в Генеральный план Заневского городского поселения Всеволожского муниципального района Ленинградской области применительно к деревне Заневка, земельному участку с кадастровым номером 47:07:1039001:148, части городского поселка Янино-1 в границах функциональной зоны 08:Ж5:3"
Номер опубликования: 4700202411060007
Дата опубликования: 06.11.2024
Страница №49 из 67:
Увеличить