Приказ Комитета по охране объектов культурного наследия Курской области от 09.11.2021 № 01.1-08/524
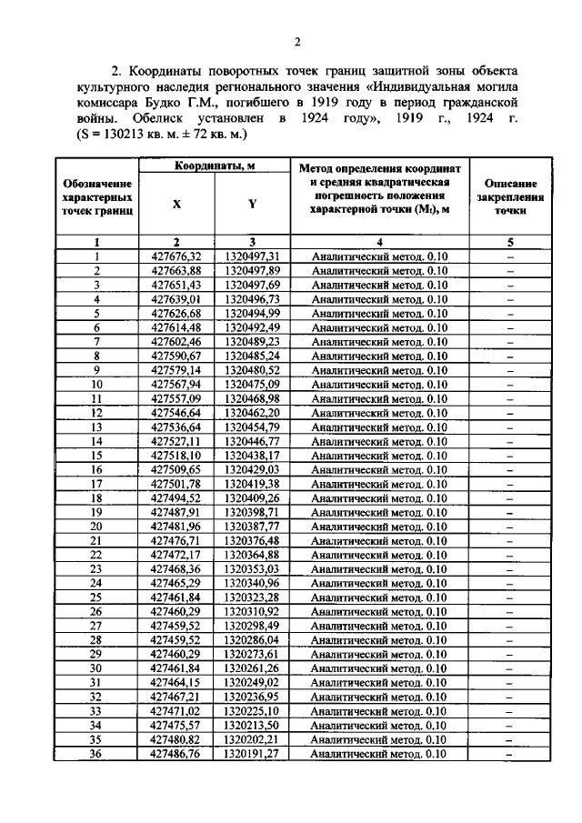
"Об утверждении графического описания местоположения границ защитной зоны объекта культурного наследия регионального значения "Индивидуальная могила комиссара Будко Г.М., погибшего в 1919 году в период гражданской войны. Обелиск установлен в 1924 году", 1919 г., 1924 г.(Курская область, Курский район, ст. Отрешково Винниковского сельсовета (на территории ж.д. станции Отрешково)"
"Об утверждении графического описания местоположения границ защитной зоны объекта культурного наследия регионального значения "Индивидуальная могила комиссара Будко Г.М., погибшего в 1919 году в период гражданской войны. Обелиск установлен в 1924 году", 1919 г., 1924 г.(Курская область, Курский район, ст. Отрешково Винниковского сельсовета (на территории ж.д. станции Отрешково)"
Номер опубликования: 4601202111120003
Дата опубликования:
12.11.2021
