Приказ Комитета по охране объектов культурного наследия Курской области от 04.10.2021 № 01.1-08/458
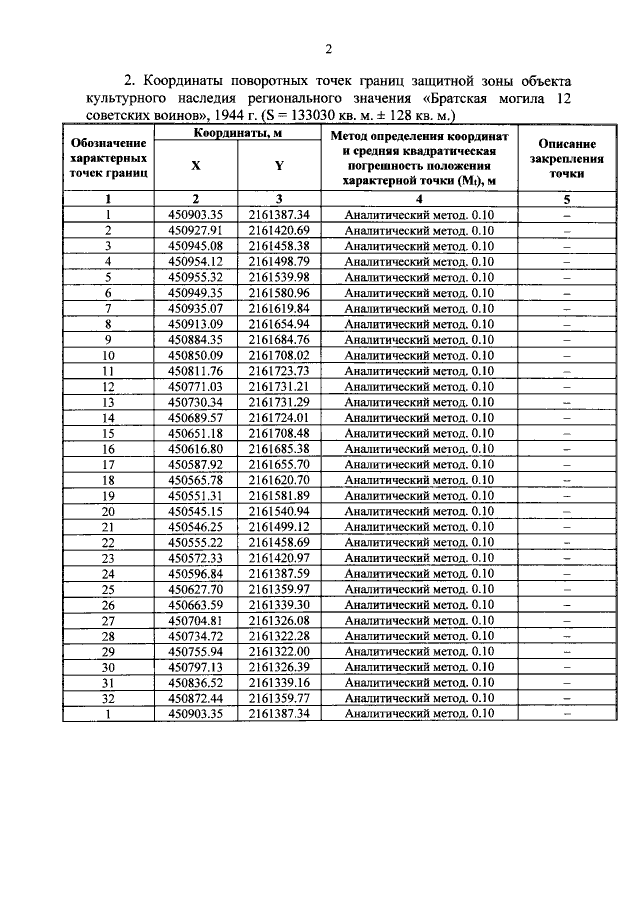
"Об утверждении графического описания местоположения границ защитной зоны объекта культурного наследия регионального значения "Братская могила 12 советских воинов", 1944 г. (Курская область, Черемисиновский район, д. Удерево)"
"Об утверждении графического описания местоположения границ защитной зоны объекта культурного наследия регионального значения "Братская могила 12 советских воинов", 1944 г. (Курская область, Черемисиновский район, д. Удерево)"
Номер опубликования: 4601202110080026
Дата опубликования:
08.10.2021
