Официальное опубликование правовых актов
ОФИЦИАЛЬНОЕ ОПУБЛИКОВАНИЕ
Приказ Комитета по охране объектов культурного наследия Курской области от 04.10.2021 № 01.1-08/453
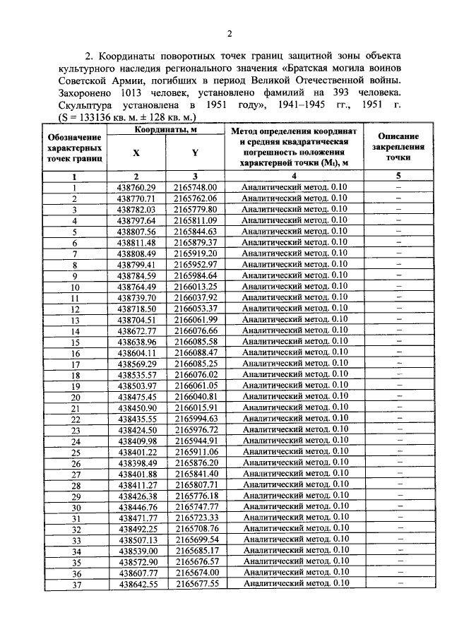
"Об утверждении графического описания местоположения границ защитной зоны объекта культурного наследия регионального значения "Братская могила воинов Советской Армии, погибших в период Великой Отечественной войны. Захоронено 1013 человек, установлено фамилий на 393 человека. Скульптура установлена в 1951 году", 1941—1945 гг.‚ 1951 г. (Курская область, Черемисиновский район, пос. Черемисиново (в парке, в 50 м от райкома и райисполкома)"
Номер опубликования: 4601202110080022
Дата опубликования: 08.10.2021
Страница №3 из 5:
Увеличить