Официальное опубликование правовых актов
ОФИЦИАЛЬНОЕ ОПУБЛИКОВАНИЕ
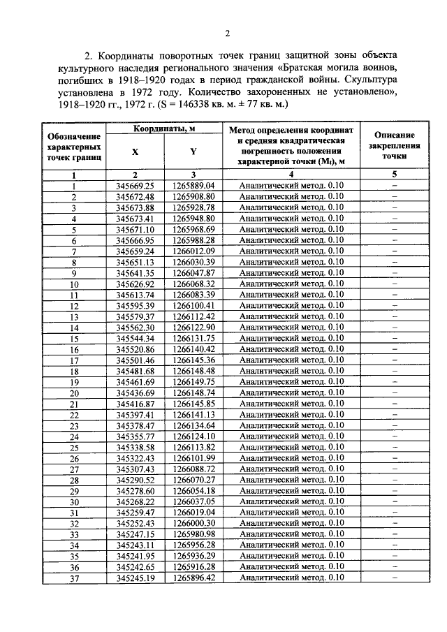
Приказ Комитета по охране объектов культурного наследия Курской области от 16.09.2021 № 01.1-08/417
"Об утверждении графического описания местоположения границ защитной зоны объекта культурного наследия регионального значения "Братская могила воинов, погибших в 1918-1920 годах в период гражданской войны. Скульптура установлена в 1972 году. Количество захороненных не установлено", 1918—1920 гг.‚ 1972 г. (Курская область, Беловский район, сл. Белая (районный центр), у здания районного Дома культуры)"
Номер опубликования: 4601202109210009
Дата опубликования: 21.09.2021
Страница №3 из 5:
Увеличить