Приказ Комитета по охране объектов культурного наследия Курской области от 16.09.2021 № 01.1-08/412
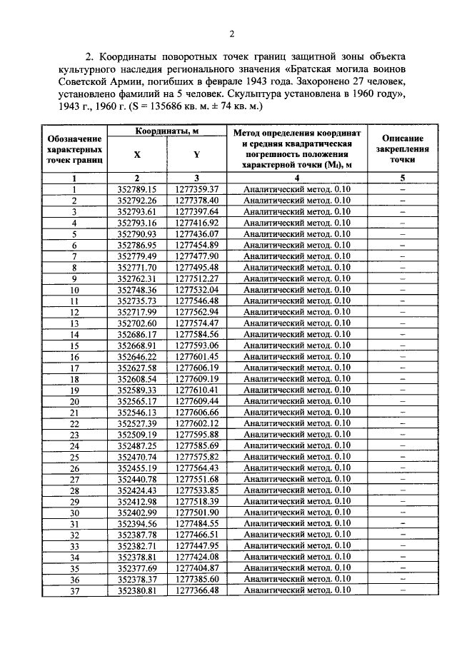
"Об утверждении графического описания местоположения границ защитной зоны объекта культурного наследия регионального значения "Братская могила воинов Советской Армии, погибших в феврале 1943 года. Захоронено 27 человек, установлено фамилий на 5 человек. Скульптура установлена в 1960 году", 1943 г.‚ 1960 г. (Курская область, Беловский район, с. Гочево Бобравского сельсовета (в центре села)"
"Об утверждении графического описания местоположения границ защитной зоны объекта культурного наследия регионального значения "Братская могила воинов Советской Армии, погибших в феврале 1943 года. Захоронено 27 человек, установлено фамилий на 5 человек. Скульптура установлена в 1960 году", 1943 г.‚ 1960 г. (Курская область, Беловский район, с. Гочево Бобравского сельсовета (в центре села)"
Номер опубликования: 4601202109210005
Дата опубликования:
21.09.2021
