Официальное опубликование правовых актов
ОФИЦИАЛЬНОЕ ОПУБЛИКОВАНИЕ
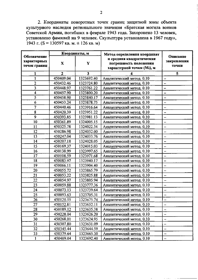
Приказ Управления Администрации Курской области по охране объектов культурного наследия от 20.07.2020 № 138-п
"Об утверждении графического описания местоположения границ защитной зоны объекта культурного наследия регионального значения "Братская могила воинов Советской Армии, погибших в феврале 1943 года. Захоронено 13 человек, установлено фамилий на 9 человек. Скульптура установлена в 1967 году", 1943 г. (Курская область, Золотухинский район, Будановский сельсовет, с. Шестопалово)"
Номер опубликования: 4601202007240003
Дата опубликования: 24.07.2020
Страница №3 из 4:
Увеличить