Официальное опубликование правовых актов
ОФИЦИАЛЬНОЕ ОПУБЛИКОВАНИЕ
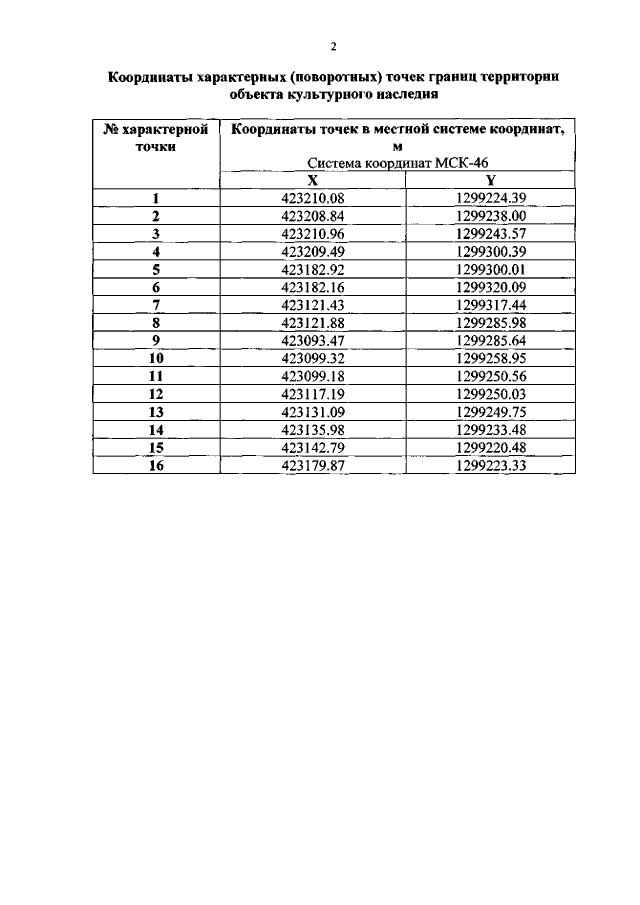
Приказ Управления Администрации Курской области по охране объектов культурного наследия от 20.09.2019 № 130-п
"Об утверждении границ и режима использования территории объекта культурного наследия регионального значения "Церковь Ахтырская" (У спенско-Ахтырская церковь), 1736 г.‚ расположенного по адресу: г. Курск, Ахтырский переулок, д. 7А"
Номер опубликования: 4601201909260002
Дата опубликования: 26.09.2019
Страница №3 из 6:
Увеличить