Приказ Департамента социальной политики Курганской области от 05.07.2024 № 37/Пр
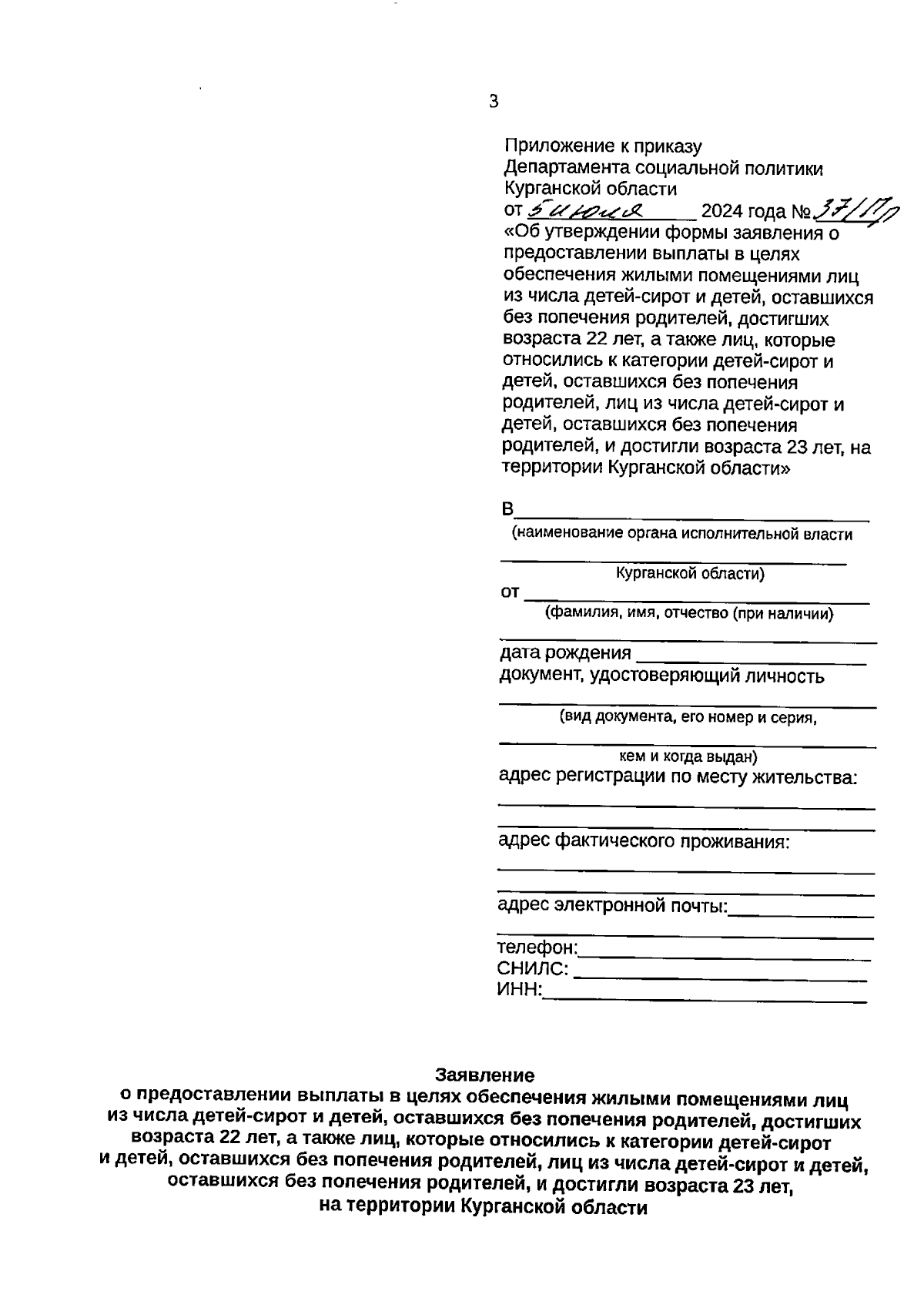
"Об утверждении формы заявления о предоставлении выплаты в целях обеспечения жилыми помещениями лиц из числа детей-сирот и детей, оставшихся без попечения родителей, достигших возраста 22 лет, а также лиц, которые относились к категории детей-сирот и детей, оставшихся без попечения родителей, лиц из числа детей-сирот и детей, оставшихся без попечения родителей, и достигли возраста 23 лет, на территории Курганской области"
(Зарегистрирован 08.07.2024 № 242120037)
"Об утверждении формы заявления о предоставлении выплаты в целях обеспечения жилыми помещениями лиц из числа детей-сирот и детей, оставшихся без попечения родителей, достигших возраста 22 лет, а также лиц, которые относились к категории детей-сирот и детей, оставшихся без попечения родителей, лиц из числа детей-сирот и детей, оставшихся без попечения родителей, и достигли возраста 23 лет, на территории Курганской области"
(Зарегистрирован 08.07.2024 № 242120037)
Номер опубликования: 4501202407080002
Дата опубликования:
08.07.2024
