Официальное опубликование правовых актов
ОФИЦИАЛЬНОЕ ОПУБЛИКОВАНИЕ
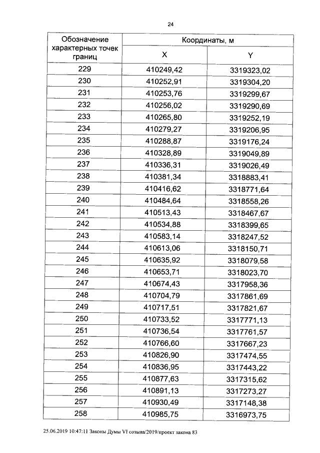
Закон Курганской области от 27.06.2019 № 103
"Об установлении границ муниципального образования Степновского сельсовета Макушинского района Курганской области"
Номер опубликования: 4500201907020019
Дата опубликования: 02.07.2019
Страница №24 из 29:
Увеличить