Официальное опубликование правовых актов
ОФИЦИАЛЬНОЕ ОПУБЛИКОВАНИЕ
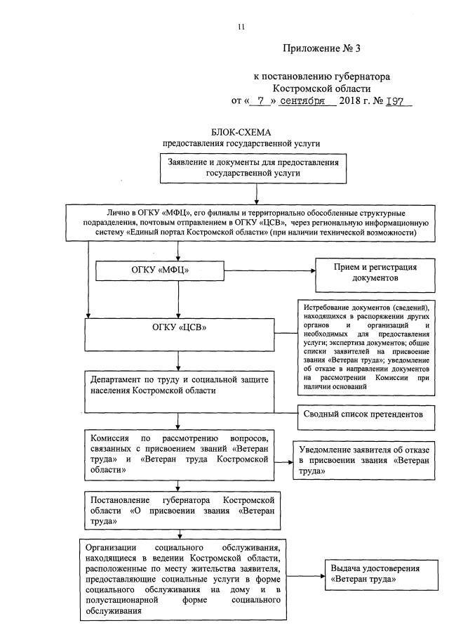
Постановление губернатора Костромской области от 07.09.2018 № 197
"О внесении изменений в постановление губернатора Костромской области от 29.08.2016 № 186"
Номер опубликования: 4400201809070003
Дата опубликования: 07.09.2018
Страница №30 из 42:
Увеличить