Официальное опубликование правовых актов
ОФИЦИАЛЬНОЕ ОПУБЛИКОВАНИЕ
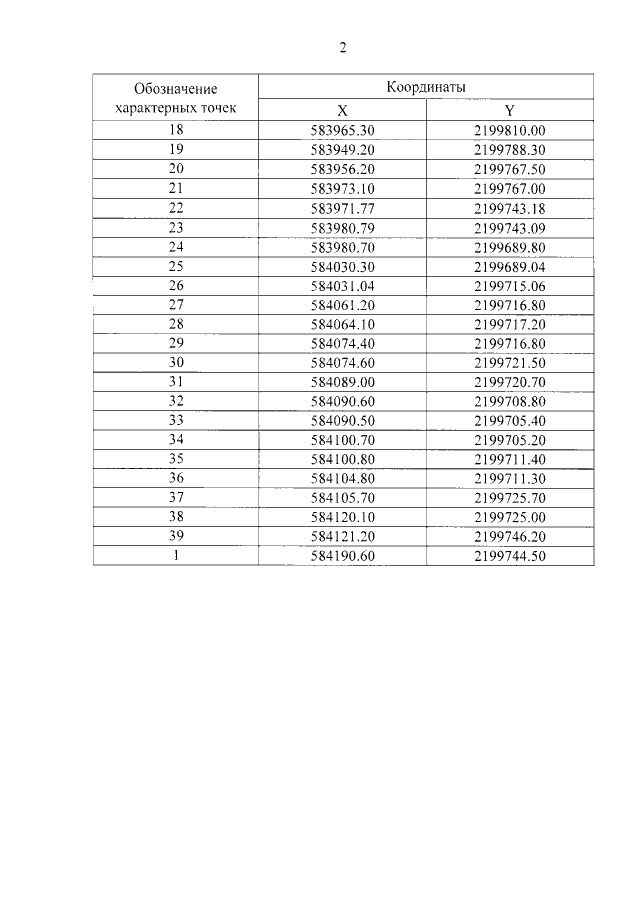
Решение управления государственной охраны объектов культурного наследия Кировской области от 31.10.2019 № 6
"Об утверждении границы территории объекта культурного наследия (памятника истории и культуры) народов Российской Федерации регионального значения "Ансамбль площади" и о признании утратившими силу решений департамента культуры Кировской области и министерства культуры Кировской области"
Номер опубликования: 4301201911080005
Дата опубликования: 08.11.2019
Страница №4 из 5:
Увеличить