Официальное опубликование правовых актов
ОФИЦИАЛЬНОЕ ОПУБЛИКОВАНИЕ
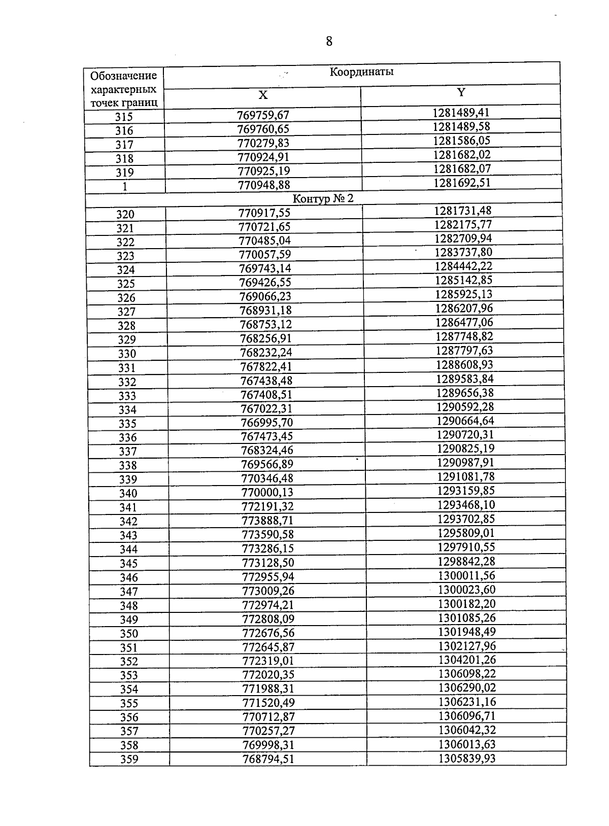
Указ Губернатора Кировской области от 28.12.2024 № 209
"Об охранной зоне памятника природы регионального значения "Ульское болото"
Номер опубликования: 4300202412290022
Дата опубликования: 29.12.2024
Страница №10 из 20:
Увеличить