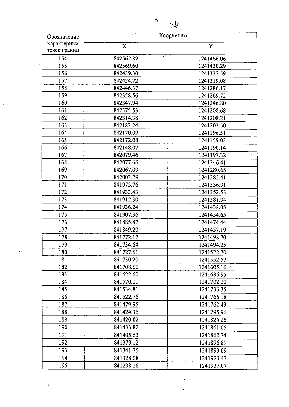
Указ Губернатора Кировской области от 29.12.2023 № 194
"Об охранной зоне памятника природы регионального значения "Христофоровские болота"
"Об охранной зоне памятника природы регионального значения "Христофоровские болота"
Номер опубликования: 4300202312300007
Дата опубликования:
30.12.2023
