Официальное опубликование правовых актов
ОФИЦИАЛЬНОЕ ОПУБЛИКОВАНИЕ
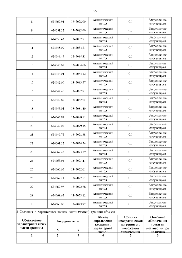
Приказ Министерства промышленности и торговли Кузбасса от 24.05.2023 № 01-05/96
"Об утверждении границ охранных зон существующих газораспределительных сетей и наложении ограничений (обременений) на входящие в них земельные участки"
(Зарегистрирован 25.05.2023 № 01692314214)
Номер опубликования: 4201202305250001
Дата опубликования: 25.05.2023
Страница №29 из 76:
Увеличить