Официальное опубликование правовых актов
ОФИЦИАЛЬНОЕ ОПУБЛИКОВАНИЕ
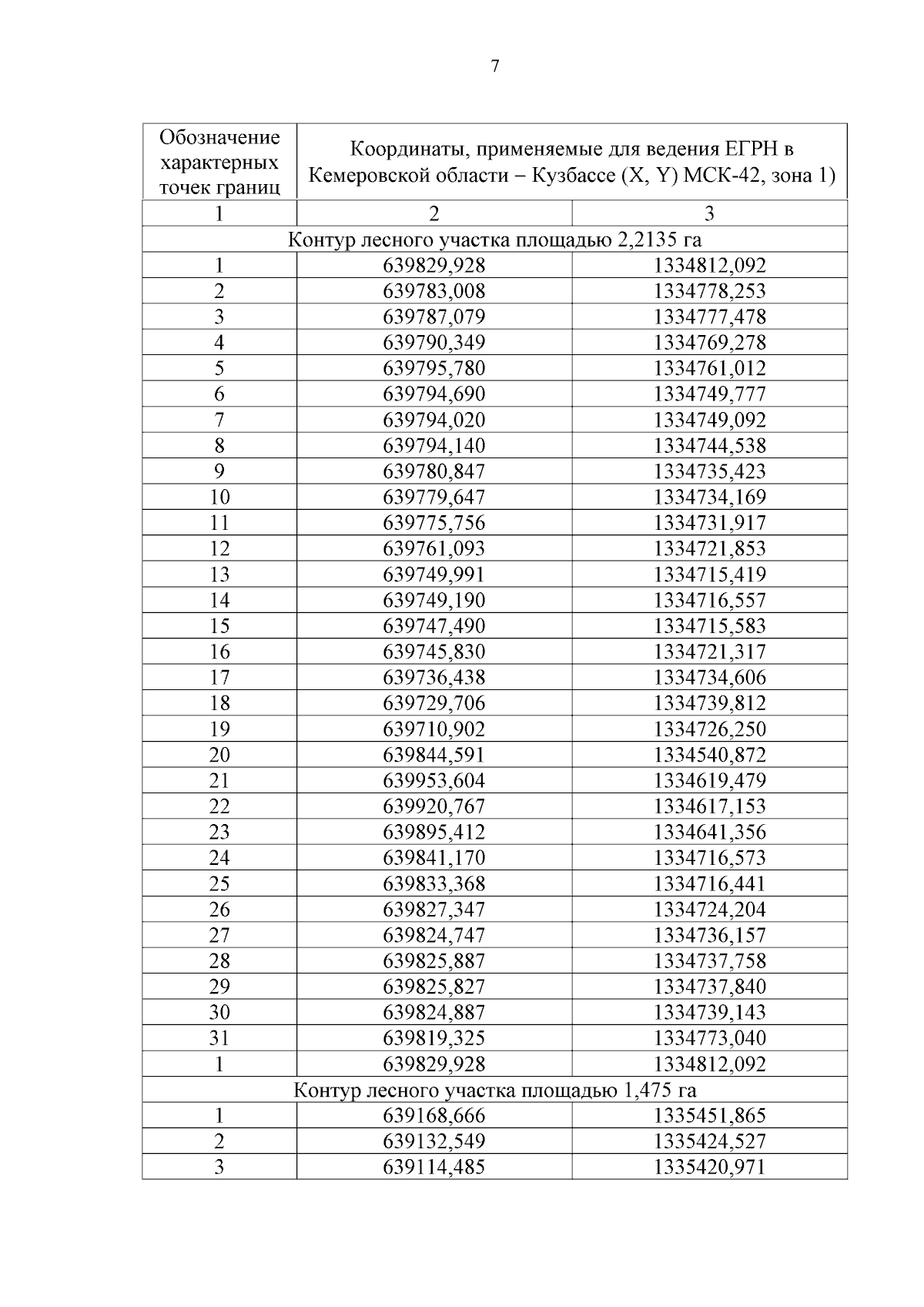
Постановление Правительства Кемеровской области - Кузбасса от 23.05.2024 № 309
"Об изменении площадей и границ земель, на которых расположены леса, указанные в пункте 3 части 1 статьи 114 Лесного кодекса Российской Федерации, Кемеровского лесничества Кемеровской области — Кузбасса"
Номер опубликования: 4200202405270009
Дата опубликования: 27.05.2024
Страница №7 из 12:
Увеличить