Официальное опубликование правовых актов
ОФИЦИАЛЬНОЕ ОПУБЛИКОВАНИЕ
Постановление Правительства Кемеровской области - Кузбасса от 18.03.2024 № 119
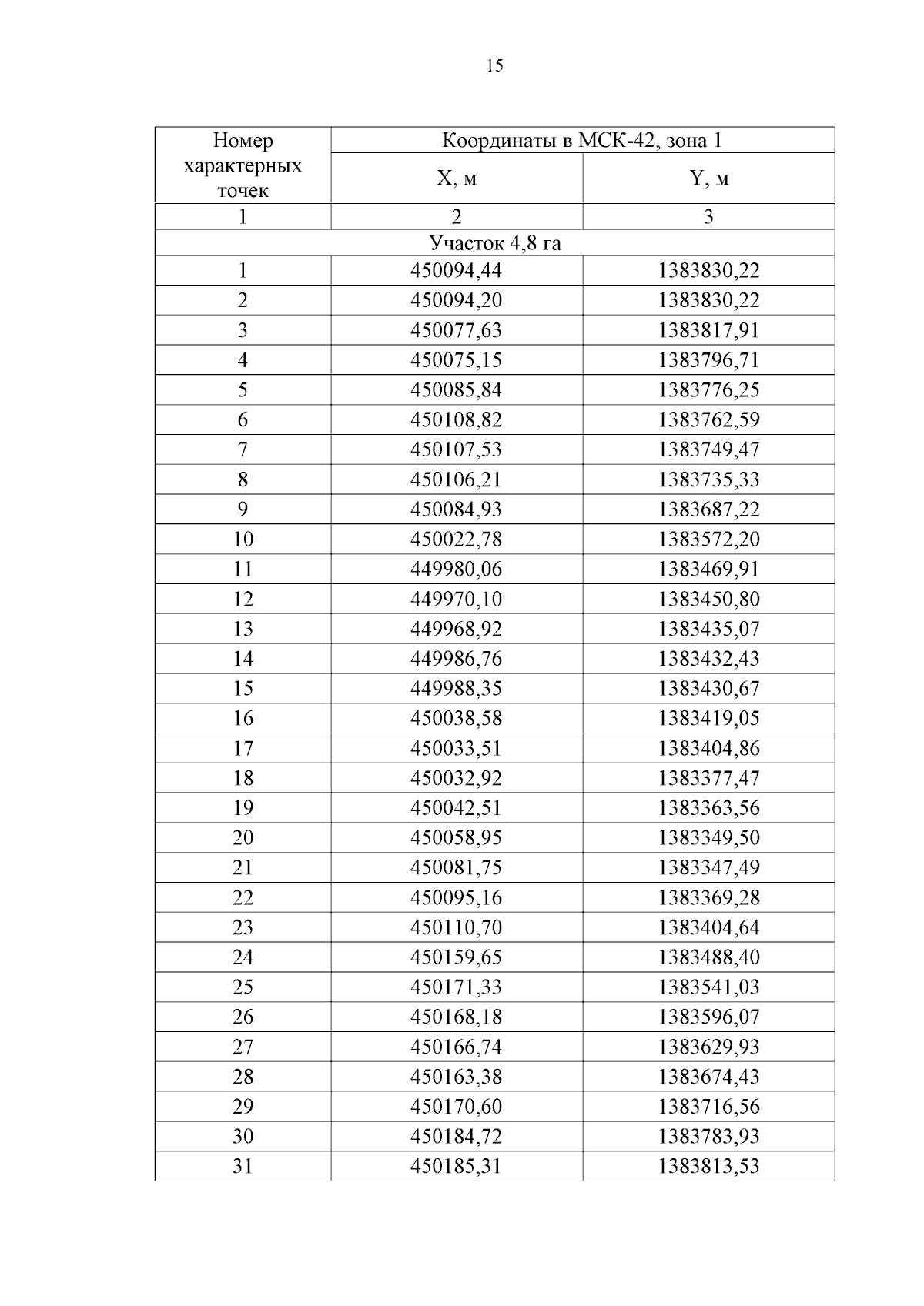
"Об изменении площадей и границ земель, на которых расположены леса, указанные в пунктах 3 и 4 части 1 статьи 114 Лесного кодекса Российской Федерации, Прокопьевского лесничества Кемеровской области — Кузбасса"
Номер опубликования: 4200202403220010
Дата опубликования: 22.03.2024
Страница №15 из 16:
Увеличить