Постановление Правительства Кемеровской области - Кузбасса от 05.06.2023 № 351
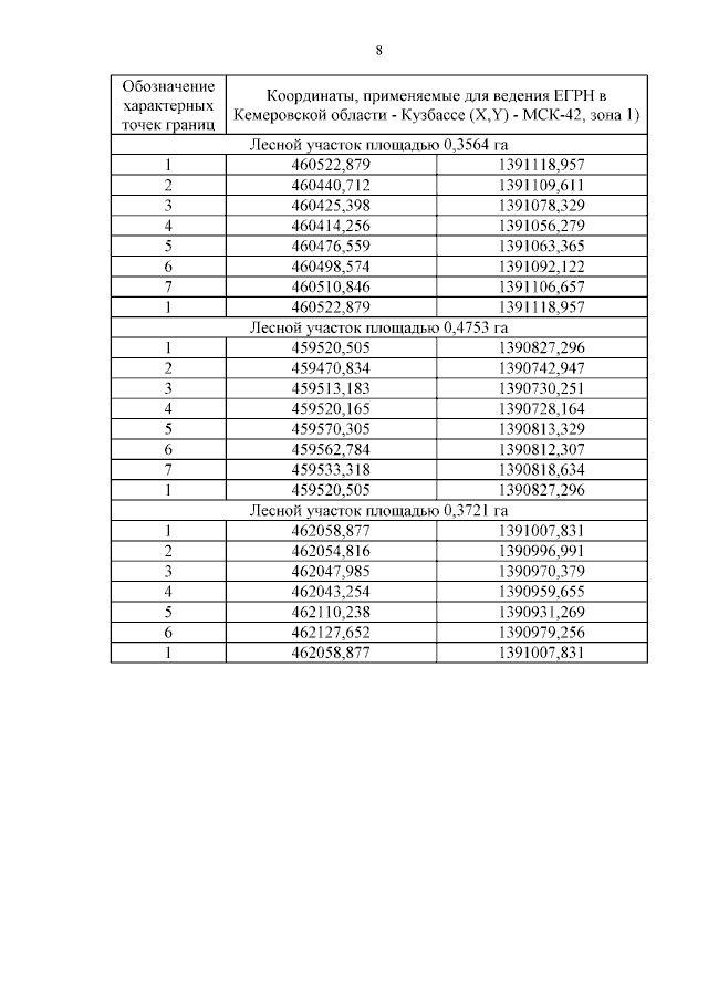
"Об изменении площадей и границ земель, на которых расположены леса, указанные в пункте 3 части 1 статьи 114 Лесного кодекса Российской Федерации, Прокопьевского лесничества Кемеровской области - Кузбасса"
"Об изменении площадей и границ земель, на которых расположены леса, указанные в пункте 3 части 1 статьи 114 Лесного кодекса Российской Федерации, Прокопьевского лесничества Кемеровской области - Кузбасса"
Номер опубликования: 4200202306080008
Дата опубликования:
08.06.2023
