Официальное опубликование правовых актов
ОФИЦИАЛЬНОЕ ОПУБЛИКОВАНИЕ
Постановление Коллегии Администрации Кемеровской области от 29.04.2016 № 168
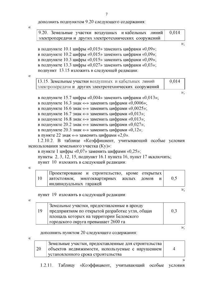
"О внесении изменений в постановление Коллегии Администрации Кемеровской области от 05.02.2010 № 47 "Об утверждении Порядка определения размера арендной платы, порядка, условий и сроков внесения арендной платы за использование земельных участков, государственная собственность на которые не разграничена, на территории Кемеровской области"
Номер опубликования: 4200201605050003
Дата опубликования: 05.05.2016
Страница №7 из 26:
Увеличить