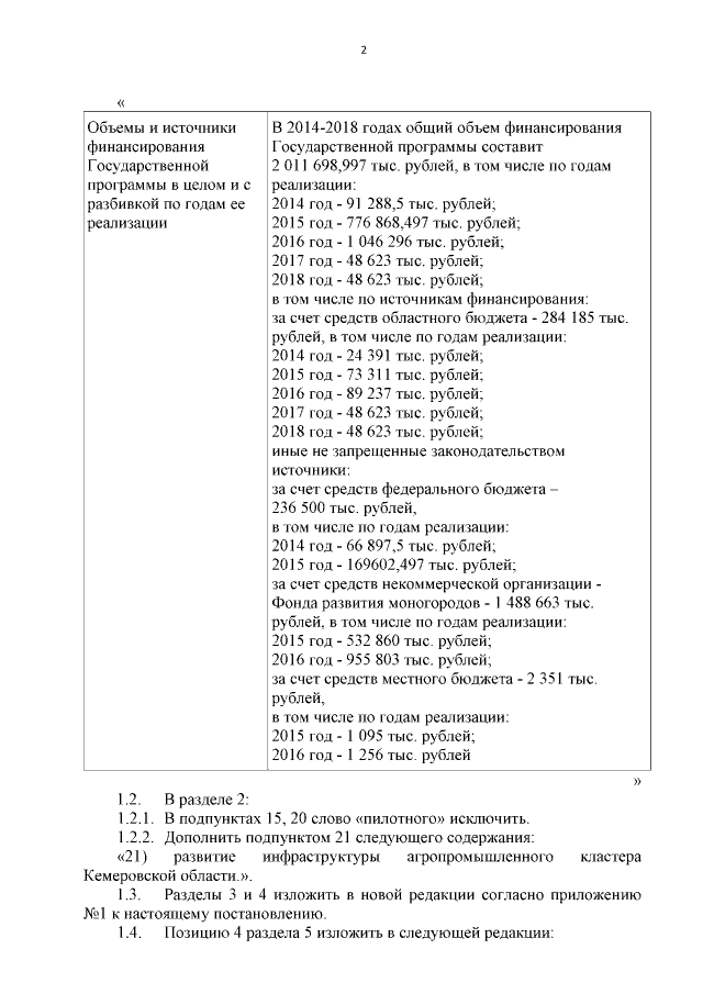
Постановление Коллегии Администрации Кемеровской области от 08.12.2015 № 402
"О внесении изменений в постановление Коллегии Администрации Кемеровской области от 13.09.2013 № 376 "Об утверждении государственной программы Кемеровской области "Экономическое развитие и инновационная экономика Кузбасса" на 2014-2018 годы"
"О внесении изменений в постановление Коллегии Администрации Кемеровской области от 13.09.2013 № 376 "Об утверждении государственной программы Кемеровской области "Экономическое развитие и инновационная экономика Кузбасса" на 2014-2018 годы"
Номер опубликования: 4200201512110001
Дата опубликования:
11.12.2015
