Официальное опубликование правовых актов
ОФИЦИАЛЬНОЕ ОПУБЛИКОВАНИЕ
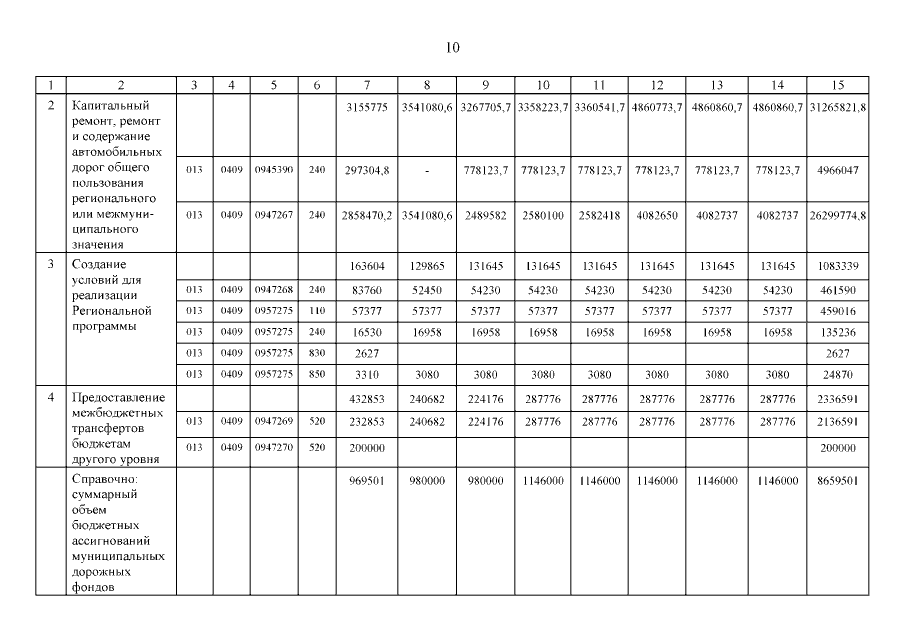
Постановление Коллегии Администрации Кемеровской области от 30.06.2015 № 212
"Об утверждении региональной программы "Развитие сети автомобильных дорог общего пользования Кемеровской области" на 2015-2022 годы"
Номер опубликования: 4200201507030001
Дата опубликования: 03.07.2015
Страница №10 из 34:
Увеличить