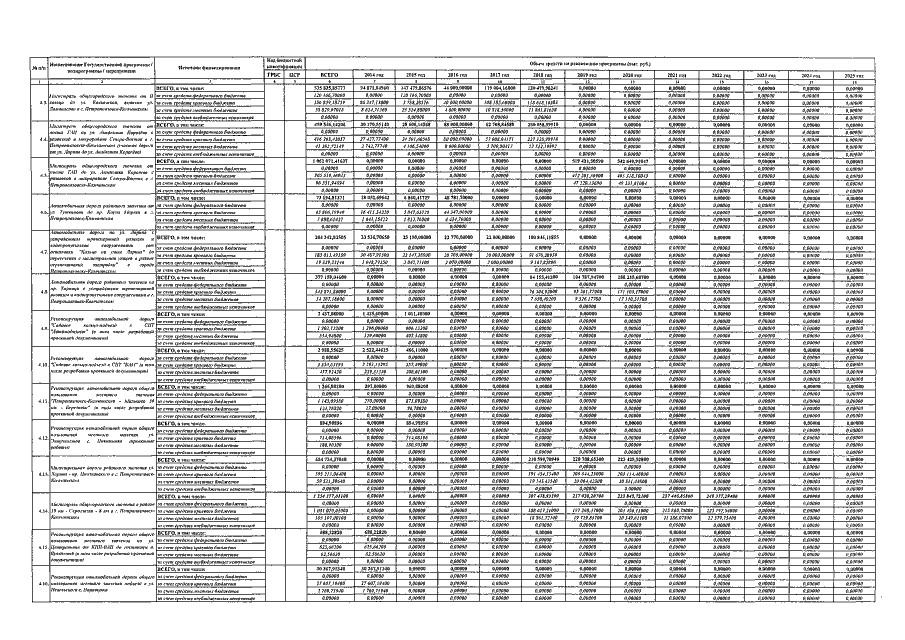
Постановление Правительства Камчатского края от 09.03.2016 № 64-П
"О внесении изменений в Государственную программу Камчатского края "Развитие транспортной системы в Камчатском крае на 2014-2025 годы", утвержденную постановлением Правительства Камчатского края от 29.11.2013 № 551-П"
"О внесении изменений в Государственную программу Камчатского края "Развитие транспортной системы в Камчатском крае на 2014-2025 годы", утвержденную постановлением Правительства Камчатского края от 29.11.2013 № 551-П"
Номер опубликования: 4100201603140005
Дата опубликования:
14.03.2016
