Приказ Управления по охране объектов культурного наследия Калужской области от 20.07.2020 № 170
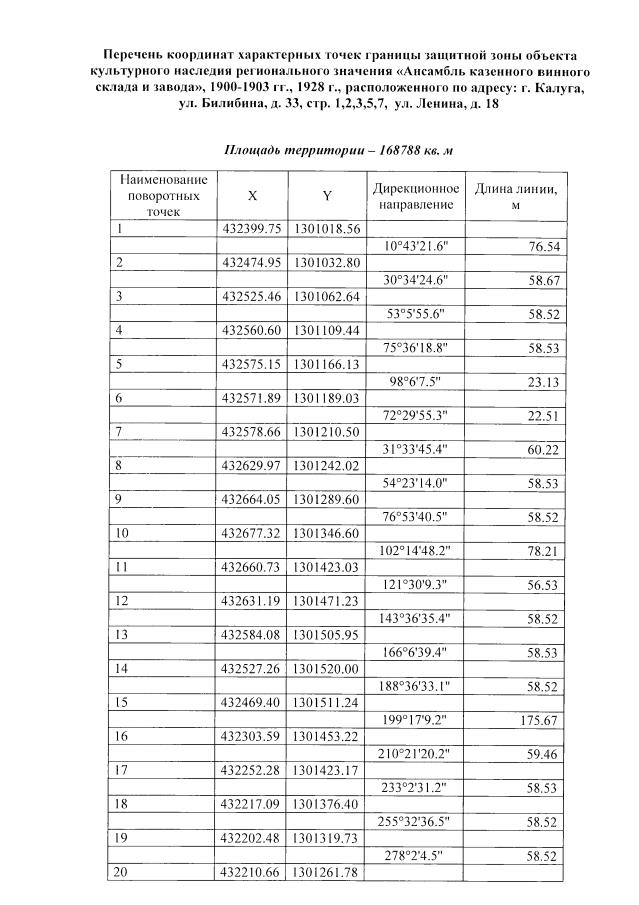
"Об утверждении графического описания местоположения границы и режима использования земель в границе защитной зоны объекта культурного наследия регионального значения "Ансамбль казенного винного склада и завода",1900-1903 гг., 1928 г., расположенного по адресу: г. Калуга, ул. Билибина, д. 33, стр. 1,2,3,5,7, ул. Ленина, д. 18"
(Зарегистрирован 07.08.2020 № 9813)
"Об утверждении графического описания местоположения границы и режима использования земель в границе защитной зоны объекта культурного наследия регионального значения "Ансамбль казенного винного склада и завода",1900-1903 гг., 1928 г., расположенного по адресу: г. Калуга, ул. Билибина, д. 33, стр. 1,2,3,5,7, ул. Ленина, д. 18"
(Зарегистрирован 07.08.2020 № 9813)
Номер опубликования: 4001202008110011
Дата опубликования:
11.08.2020
