Официальное опубликование правовых актов
ОФИЦИАЛЬНОЕ ОПУБЛИКОВАНИЕ
Приказ Управления по охране объектов культурного наследия Калужской области от 02.07.2020 № 148
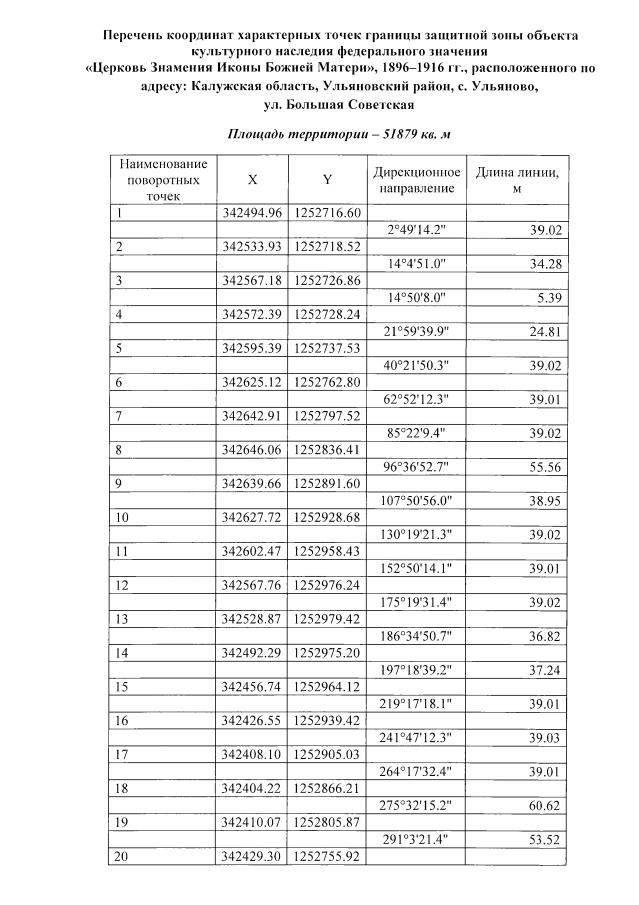
"Об утверждении графического описания местоположения границы и режима использования земель в границе защитной зоны объекта культурного наследия федерального значения "Церковь Знамения Иконы Божией Матери", 1896–1916 гг., расположенного по адресу: Калужская область, Ульяновский район, с. Ульяново, ул. Большая Советская"
(Зарегистрирован 13.07.2020 № 9734)
Номер опубликования: 4001202007200010
Дата опубликования: 20.07.2020
Страница №3 из 5:
Увеличить