Официальное опубликование правовых актов
ОФИЦИАЛЬНОЕ ОПУБЛИКОВАНИЕ
Приказ Управления по охране объектов культурного наследия Калужской области от 27.09.2019 № 284
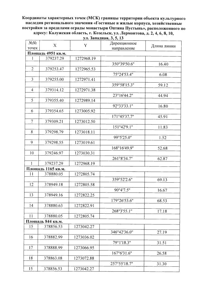
"Об утверждении границ и режима использования территории объекта культурного наследия регионального значения "Гостиные и жилые корпуса, хозяйственные постройки за пределами ограды монастыря Оптина Пустынь", расположенного по адресу: Калужская область, г. Козельск, ул. Лермонтова, д. 2, 4, 6, 8, 10, ул. Западная, 3, 5, 13"
(Зарегистрирован 10.10.2019 № 8912)
Номер опубликования: 4001201910170004
Дата опубликования: 17.10.2019
Страница №4 из 8:
Увеличить