Приказ Управления по охране объектов культурного наследия Калужской области от 06.05.2019 № 101
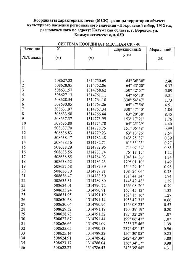
"Об утверждении границ и режима использования территории объекта культурного наследия регионального значения "Покровский собор, 1912 г.", расположенного по адресу: Калужская область, г. Боровск, ул. Коммунистическая, д. 63В"
(Зарегистрирован 24.05.2019 № 8656)
"Об утверждении границ и режима использования территории объекта культурного наследия регионального значения "Покровский собор, 1912 г.", расположенного по адресу: Калужская область, г. Боровск, ул. Коммунистическая, д. 63В"
(Зарегистрирован 24.05.2019 № 8656)
Номер опубликования: 4001201905290005
Дата опубликования:
29.05.2019
