Официальное опубликование правовых актов
ОФИЦИАЛЬНОЕ ОПУБЛИКОВАНИЕ
Приказ Управления по охране объектов культурного наследия Калужской области от 10.12.2018 № 394
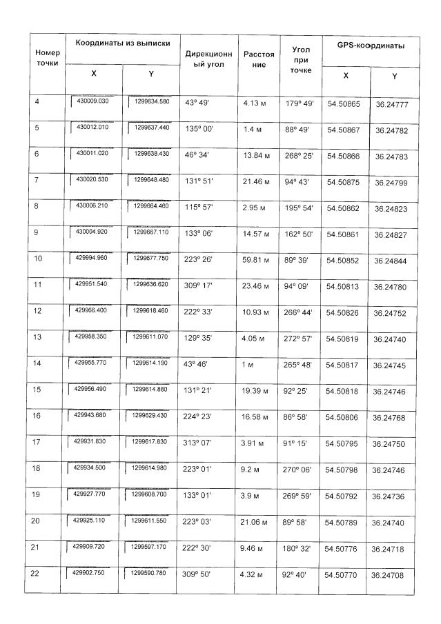
"Об утверждении границ и режима использования территории объекта культурного наследия федерального значения "Здание управления Сызранско–Вяземской железной дороги, 1895 г.", 1895 г., расположенного по адресу: г. Калуга, ул. Карла Маркса, д. 4"
(Зарегистрирован 17.12.2018 № 8198)
Номер опубликования: 4001201812200015
Дата опубликования: 20.12.2018
Страница №3 из 7:
Увеличить