Официальное опубликование правовых актов
ОФИЦИАЛЬНОЕ ОПУБЛИКОВАНИЕ
Приказ Управления по охране объектов культурного наследия Калужской области от 10.12.2018 № 392
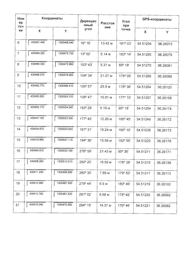
"Об утверждении границ и режима использования территории объекта культурного наследия федерального значения "Дом Щукина", XIX в., расположенного по адресу: г. Калуга, ул. Дзержинского, 57"
(Зарегистрирован 17.12.2018 № 8196)
Номер опубликования: 4001201812200012
Дата опубликования: 20.12.2018
Страница №3 из 6:
Увеличить