Официальное опубликование правовых актов
ОФИЦИАЛЬНОЕ ОПУБЛИКОВАНИЕ
Приказ Управления по охране объектов культурного наследия Калужской области от 16.02.2018 № 44
"О включении в единый государственный реестр объектов культурного наследия (памятников истории и культуры) народов Российской Федерации выявленного объекта культурного наследия "Промышленное здание", кон. XIX - нач. XX вв. с наименованием "Здание училища строительно-технического низшего", 1912 г., арх. Д.В. Виноградов"
(Зарегистрирован 28.02.2018 № 7528)
Номер опубликования: 4001201803060002
Дата опубликования: 06.03.2018
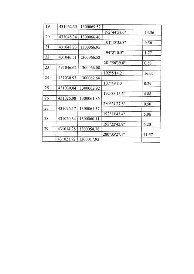
Страница №11 из 13:
Увеличить