Официальное опубликование правовых актов
ОФИЦИАЛЬНОЕ ОПУБЛИКОВАНИЕ
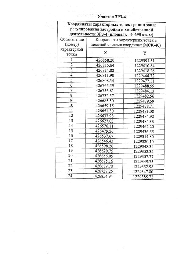
Постановление Правительства Калужской области от 14.10.2020 № 798
"Об установлении зон охраны объекта культурного наследия федерального значения "Церковь Успения", 1754 – 1766 гг., расположенного по адресу: Калужская область, Мосальский район, с. Боровенск, ул. Центральная, д. 10 А , и утверждении требований к градостроительным регламентам в границах территорий данных зон"
Номер опубликования: 4000202010160013
Дата опубликования: 16.10.2020
Страница №9 из 20:
Увеличить