Официальное опубликование правовых актов
ОФИЦИАЛЬНОЕ ОПУБЛИКОВАНИЕ
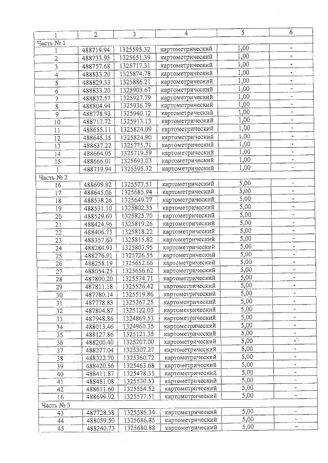
Постановление Правительства Калужской области от 01.09.2020 № 683
"О внесении изменения в постановление Правительства Калужской области от 21.02.2018 № 114 "О реорганизации особо охраняемой природной территории регионального значения – памятника природы "Сосновые боры по р. Протва"
Номер опубликования: 4000202009030015
Дата опубликования: 03.09.2020
Страница №3 из 6:
Увеличить