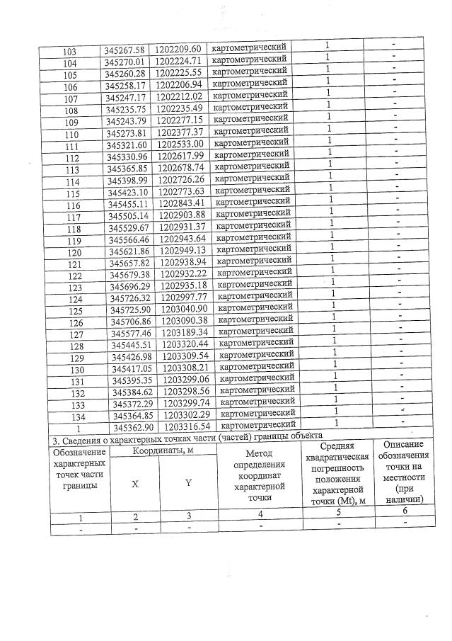
Постановление Правительства Калужской области от 14.04.2020 № 304
"О внесении изменения в постановление Правительства Калужской области от 13.05.2016 № 287 "О реорганизации особо охраняемой природной территории регионального значения – памятника природы "Елово-широколиственный бор"
"О внесении изменения в постановление Правительства Калужской области от 13.05.2016 № 287 "О реорганизации особо охраняемой природной территории регионального значения – памятника природы "Елово-широколиственный бор"
Номер опубликования: 4000202004160025
Дата опубликования:
16.04.2020
